# NLP 自然语言处理
# 常见任务
- 文本分类:情感分析(积极 / 消极)、垃圾邮件识别、新闻主题分类【句子级别】
- 序列标注:命名实体识别(找人名、地名、手机号)、文本生成、信息抽取、文本转化【Token 级别】
# 文本表示
# 分词
- 词级分词:将文本按照词切分在英语中空格往往是天然的切词标志,但是容易出现 OOV 问题(未登录词问题)
- 字符级分词:一个字母、数字、标点甚至空格,都会被视作一个独立的 token,不会有 OOV 问题,但模型必须依赖更长的上下文来推断词义和结构,这显著增加了建模难度和训练成本。
- 子词级分词:将词语切分为更小的单元 —— 子词(subword),例如词根、前缀、后缀或常见词片段。
以上是英文适用的分词方法,下面是中文适用的分词方法。
- 字符级分词:一个字就进行一次切分,比英文中的字符分词,中文的字符分词更加 “语义友好”。
- 词级分词:由于中文没有空格等天然词边界,词级分词通常依赖词典、规则或模型来识别词语边界。
- 子词级分词:它们以汉字为基本单位,通过学习语料中高频的字组合(如 “自然”、“语言”、“处理”),自动构建子词词表。在当前主流的中文大模型(如通义千问、DeepSeek)中,子词分词已成为广泛采用的文本切分策略。
# JiebBa 分词组件
word_gen = jieba.cut("我的名字叫Karry,来自计算机科学技术学院") | |
for word in word_gen: | |
print(word) |
我
的
名字
叫
Karry
,
来自
计算机
科学技术
学院
# 词表示
- One-hot 编码(独热编码):它将词汇表中的每个词映射为一个稀疏向量,向量的长度等于整个词表的大小。该词在对应的位置为 1,其他位置为 0。在实际自然语言处理任务中,one-hot 表示已经很少被直接使用。
- 语义化词向量:它通过对大规模语料的学习,为每个词生成一个具有语义意义的稠密向量表示。比如 “女人” 和 “女孩”,这两个词向量就很接近。Word2Vec。
# Word2Vec
左侧是 CBOW,中间词是教师,以此来学习上下文。
右侧是 Skip-gram,上下文是教师,以此来学习中间词。
# GENSIM 词向量组件
# 加载与使用公开词向量
from gensim.models import KeyedVectors | |
model_path = 'sgns.weibo.word.bz2' | |
model = KeyedVectors.load_word2vec_format(model_path) |
similarity = model.similarity('公交', '地铁') | |
print('公交和地铁的相似度', similarity) |
公交和地铁的相似度 0.65458214
model.most_similar(positive=['男人', '女孩'], negative=['男孩'], topn=10) |
男人 + 女孩 - 男孩 = 女人
[(‘女人’, 0.6578881740570068),
(‘女孩子’, 0.515068531036377),
(‘女生’, 0.4519447982311249),
(‘女人真’, 0.44206273555755615),
(‘女人们’, 0.4369858503341675),
(‘女人爱’, 0.435453325510025),
(‘寡言少语’, 0.42479249835014343),
(‘男孩子’, 0.42177465558052063),
(‘看女人’, 0.41949161887168884),
(‘笨女人’, 0.4182003140449524)]
# 训练自己的词向量
import pandas as pd | |
import jieba | |
from gensim.models import Word2Vec | |
comments = pd.read_csv('./data/online_shopping_10_cats.csv', encoding='utf-8') | |
reviews = comments['review'] | |
reviews = reviews.dropna() | |
sentences = [[token for token in jieba.__lcut(review) if token.strip() != ''] for review in reviews] | |
model = Word2Vec( | |
sentences, # 已分词的句子序列 | |
vector_size=100, # 词向量维度 | |
window=5, # 上下文窗口大小 | |
min_count=2, # 最小词频(低于将被忽略) | |
sg=1, # 1:Skip-Gram,0:CBOW | |
workers=4 # 并行训练线程数 | |
) | |
model.wv.save_word2vec_format('./data/word2vec.txt') |
# 词向量的应用
import torch | |
from torch import nn | |
from gensim.models import KeyedVectors | |
# 加载词向量 | |
wv = KeyedVectors.load_word2vec_format('./data/word2vec.txt') | |
# 构建词向量矩阵 | |
num_embedding = len(wv.key_to_index) | |
embedding_dim = wv.vector_size | |
embedding_matrix = torch.randn(num_embedding, embedding_dim) | |
for word, index in wv.key_to_index.items(): | |
embedding_matrix[index] = torch.from_numpy(wv[word]) | |
print(embedding_matrix.shape) | |
# 创建 Embedding | |
embedding = nn.Embedding.from_pretrained(embedding_matrix) | |
text = '我喜欢乘坐地铁' | |
tokens= jieba.lcut(text) | |
input_ids = [wv.key_to_index[token] for token in tokens if token in wv.key_to_index] | |
input_tensor = torch.LongTensor(input_ids) | |
embedding(input_tensor) |
# ELMo 模型 —— 一词多义问题
NNLM 模型是在预测下一个词,而词向量是副产品。
Word2Vec 模型是在专门做词向量,有 CBOW 和 Skip-gram。
ELMo 模型解决的是一词多义的问题。
ELMo 不仅仅是训练了一个 Q 矩阵,还把这个词的上下文信息融入到这个 Q 矩阵中,左边的 LSTM 获取 E2 的上文信息,右侧的 LSTM 获取下文信息。
T1 包含了第一个词的特征,与此同时也包含了语法特征和语义特征。
然而 LSTM 无法并行计算,因此我们引入了注意力机制。
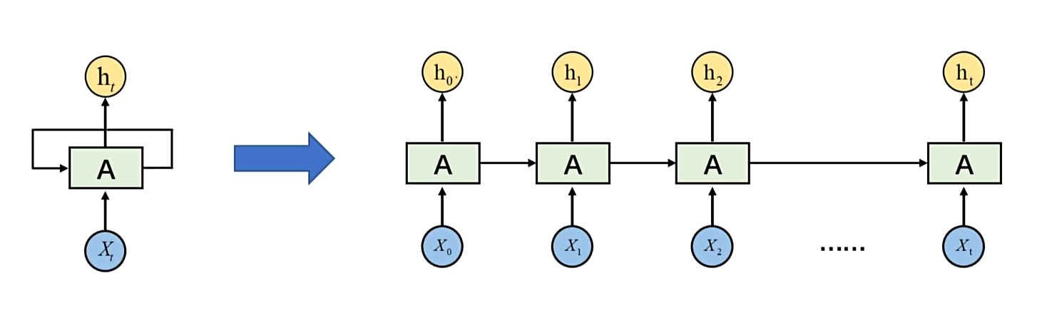
# RNN 基本结构
RNN 以时间步为基本单位,逐个处理每一个 Token,新的隐藏状态是由,上一个隐藏状态与当前步共同决定的。

x1,x2,x3…xt 这是一组特征,但是这是与时间有关的特征,hₜ是每时每刻的预测。
比如一句话:“我出生在中国,我会说中文”
我们可以按时间步展开:
| 时间步 | 输入 xₜ(词向量) | 隐藏状态 hₜ(编码了前面的上下文) | 可能的预测 yₜ(下一个词) |
|---|---|---|---|
| t=1 | “我” | h₁(编码了 “我”) | “出生” |
| t=2 | “出生” | h₂(编码了 “我 出生”) | “在” |
| t=3 | “在” | h₃(编码了 “我 出生 在”) | “中国” |
| t=4 | “中国” | h₄(编码了 “我 出生 在 中国”) | “,” |
| t=5 | “,” | h₅(编码了 “我 出生 在中国 ,”) | “我” |
| t=6 | “我” | h₆(编码了前半句 +“我”) | “会” |
| t=7 | “会” | h₇(编码了前半句 +“我 会”) | “说” |
| t=8 | “说” | h₈(编码了前半句 +“我 会 说”) | “中文” |
RNN 的隐藏状态 hₜ 起到了 **“记忆”** 的作用:
- 当模型看到 “中国” 时,h₄ 已经编码了 “我出生在中国” 这个信息。
- 当模型看到后半句 “我会说中文” 时,h₈ 已经编码了整句话的上下文,因此它可以推断出 “中文” 是合理的下一个词,因为 “出生在中国” 和 “会说中文” 之间有语义关联。
在 RNN 中,每个词 xₜ 是随时间输入的特征,隐藏状态 hₜ 是模型对 “到目前为止所有词” 的理解,而预测 yₜ 是基于这种理解做出的下一步判断。
# RNN 与 FCNN(全连接神经网络)的区别
左侧是 RNN,右侧是全连接神经网络。全连接神经网络是一个直筒的结构,RNN 是一个与时间有关的循环结构。
# FCNN 的展开
# RNN 的展开
# 为什么?
FCNN 把每个输入当作独立静态向量
RNN 把输入看成随时间展开的序列,用共享参数 + 循环隐状态来显式建模 “过去” 对 “现在” 的影响。
# 数学表达
# 权重共享
权重共享” 是 RNN 与 CNN 里最常被提到的一个核心设计,但它不是 “所有神经元共用同一个数”,而是同一组参数(矩阵 / 向量)在多个位置、多个时间步或空间位置反复使用。
# 双向 RNN
双向递归神经网络(Bidirectional Recurrent Neural Network,简称 Bi-RNN)是一种特殊的递归神经网络(RNN),它在处理序列数据时,不仅考虑了过去的信息,还考虑了未来的信息。这使得 Bi-RNN 在处理诸如自然语言处理(NLP)任务时特别有用,因为它能够同时利用上下文信息。
# 在 PyTorch 使用 RNN
import torch.nn as nn | |
# 双层双向 RNN | |
rnn = nn.RNN(input_size=3, hidden_size=4, num_layers=2, batch_first=True, bidirectional=True) | |
# shape: (batch, seq_len, input_size) | |
input = torch.randn(2, 4, 3) | |
output, hn = rnn(input) | |
print(output.shape) | |
print(hn.shape) |
torch.Size([2, 4, 8])
torch.Size([4, 2, 4])
# 词嵌入层 API 应用
# 作用
把词或词对应的索引转为词向量
# 使用框架实现
import torch | |
import jieba | |
import torch.nn as nn | |
def dm01(): | |
text = "当您登录平台即表示您接受本隐私政策的全部内容,并同意平台按本政策收集、使用和保护您的相关个人信息。" | |
words = jieba.lcut(text) | |
print(words) | |
''' | |
len(words) : 词表大小 | |
embedding_dim : 词向量维度 | |
''' | |
embed = nn.Embedding(len(words), embedding_dim=4) | |
for i, word in enumerate(words): | |
# 词索引(张量)转变为词向量 | |
word2Vec = embed(torch.tensor([i])) | |
print(word, word2Vec) | |
if __name__ == '__main__': | |
dm01() |
# RNN 的 API 使用
RNN 就像是你的大脑,在看电影的过程中记住剧情。
import torch | |
import torch.nn as nn | |
''' | |
input_size:词向量的维度 | |
hidden_size:隐藏状态的维度 | |
num_layers:隐藏层数 | |
batch_first:批次优先 | |
''' | |
rnn = nn.RNN(input_size=10, hidden_size=20, num_layers=1) | |
''' | |
5:有5个词 | |
3:3个批次 | |
10:每个词的细节是10维度 | |
''' | |
x = torch.rand(5, 3, 10) | |
''' | |
1:隐藏层层数 | |
3:句子数量 | |
20:有20个循环维度,也就是隐藏状态的维度 | |
''' | |
h0 = torch.zeros(1, 3, 20) | |
''' | |
RNN处理 | |
x:本次的输入 | |
h0:上一次的隐藏状态 | |
输出 | |
output:每个时间步的输出,包含了所有时间步骤的隐藏状态 | |
h1:最后一次隐藏状态,大脑里最新的剧情 | |
''' | |
output, h1 = rnn(x, h0) | |
print(f'output_shape:{output.shape}') | |
print(f'h1_shape:{h1.shape}') |
# 智能提示输入法的实现
# 最佳实践
print(__file__) |
__ file __ 是当前文件的绝对路径,py 在处理相对路径时可能会遇到问题,最好使用绝对路径。
from pathlib import Path | |
print(Path(__file__).parent.parent / "data/raw/synthesized_.jsonl") |
所以我们通常会这样写:
RAW_DATA_DIR = Path(__file__).parent.parent / "data/raw" | |
def process(): | |
print("开始处理数据") | |
# 读取原始文件 | |
df = pd.read_json(RAW_DATA_DIR / "synthesized_.jsonl", lines=True, orient='records', | |
encoding='utf-8') | |
print(df.head()) | |
print("数据处理完成") |
# 数据预处理
import jieba | |
from sklearn.model_selection import train_test_split | |
import pandas as pd | |
from tqdm import tqdm | |
import config | |
def build_dataset(sentences, word2index, desc="构建数据集"): | |
indexed_sentences = [[word2index.get(token, 0) for token in jieba.lcut(sentences)] for sentences in | |
sentences] | |
dataset = [] | |
for index, sentence in tqdm(enumerate(indexed_sentences), desc=desc): | |
for i in range(len(sentence) - config.SWQ_LEN): | |
input = sentence[i:i + config.SWQ_LEN] | |
target = sentence[i + config.SWQ_LEN] | |
dataset.append({ | |
'input': input, | |
'target': target, | |
}) | |
return dataset | |
def process(): | |
print("开始处理数据") | |
# 读取原始文件 | |
df = pd.read_json(config.RAW_DATA_DIR / "synthesized_.jsonl", lines=True, orient='records', | |
encoding='utf-8').sample(frac=0.1) | |
# 提取句子 | |
sentences = [] | |
for sentencesX in df['dialog']: | |
for sentencesXs in sentencesX: | |
sentences.append(sentencesXs.split(':')[1]) | |
print(f"句子的数量为:{len(sentences)}") | |
# 划分数据集 | |
train_sentences, valid_sentences = train_test_split(sentences, test_size=0.2) | |
# 构建词表 | |
vocab_set = set() | |
for sentence in tqdm(train_sentences, desc='构建词表'): | |
vocab_set.update(jieba.lcut(sentence)) | |
vocab_list = ['<unk>'] + list(vocab_set) | |
print(f"词表的数量为:{len(vocab_list)}") | |
# 保存此表 | |
with open(config.MODELS_DIR / "vocab.txt", 'w', encoding='utf-8') as f: | |
f.write('\n'.join(vocab_list)) | |
# 构建训练集 | |
word2index = {word: index for index, word in enumerate(vocab_list)} | |
train_dataset = build_dataset(train_sentences, word2index) | |
# 保存训练集 | |
pd.DataFrame(train_dataset).to_json(config.PROCESSED_DATA_DIR / "train.jsonl", orient='records', lines=True) | |
# 构建验证集 | |
valid_dataset = build_dataset(valid_sentences, word2index) | |
# 保存验证集 | |
pd.DataFrame(valid_dataset).to_json(config.PROCESSED_DATA_DIR / "valid.jsonl", orient='records', lines=True) | |
print("数据处理完成") | |
if __name__ == '__main__': | |
process() |
# 数据集
import pandas as pd | |
import torch | |
from torch.utils.data import DataLoader, Dataset | |
from torch.utils.data.dataset import _T_co | |
from src.NLP.SmartPrompt.src import config | |
# 定义 Dataset | |
class InputMethodDataset(Dataset): | |
def __init__(self, path): | |
super().__init__() | |
self.data = pd.read_json(path, lines=True, orient='records').to_dict('records') | |
def __getitem__(self, index) -> _T_co: | |
input_tensor = torch.tensor(self.data[index]['input'], dtype=torch.long) | |
target_tensor = torch.tensor(self.data[index]['target'], dtype=torch.long) | |
return input_tensor, target_tensor | |
def __len__(self) -> int: | |
return len(self.data) | |
# 提供一个获取 DATALoader 的方法 | |
def get_dataloader(train=True): | |
path = config.PROCESSED_DATA_DIR / ("train.jsonl" if train else "valid.jsonl") | |
dataset = InputMethodDataset(path) | |
return DataLoader(dataset, batch_size=config.BATCH_SIZE, shuffle=True) | |
if __name__ == '__main__': | |
train_loader = get_dataloader(train=True) | |
valid_loader = get_dataloader(train=False) | |
print(len(train_loader)) | |
print(len(valid_loader)) | |
for input_tensor, target_tensor in train_loader: | |
print(input_tensor.shape) | |
print(target_tensor.shape) | |
break |
# 训练
import time | |
import torch | |
from torch import nn | |
from torch.utils.tensorboard import SummaryWriter | |
from tqdm import tqdm | |
from src.NLP.SmartPrompt.src import config | |
from src.NLP.SmartPrompt.src.dataset import get_dataloader | |
from src.NLP.SmartPrompt.src.model import InputMethodModel | |
def train_onr_epoch(model, dataloader, loss_fn, optimizer, device): | |
""" | |
:param model: 模型 | |
:param dataloader: 数据集 | |
:param loss_fn: 损失函数 | |
:param optimizer: 优化器 | |
:param device: 设备 | |
:return: 损失值 | |
""" | |
model.train() | |
total_loss = 0 | |
for batch in tqdm(dataloader, desc="训练中"): | |
features, targets = batch | |
features = features.to(device) | |
targets = targets.to(device) | |
outputs = model(features) | |
loss = loss_fn(outputs, targets) | |
total_loss += loss.item() | |
optimizer.zero_grad() | |
loss.backward() | |
optimizer.step() | |
return total_loss / len(dataloader) | |
def train(): | |
device = torch.device('cuda' if torch.cuda.is_available() else 'cpu') | |
dataloader = get_dataloader(train=True) | |
with open(config.MODELS_DIR / 'vocab.txt', 'r', encoding='utf-8') as f: | |
vocab_list = f.readlines() | |
vocab_list = [vocab.strip() for vocab in vocab_list] | |
model = InputMethodModel(len(vocab_list)).to(device) | |
loss_fn = nn.CrossEntropyLoss() | |
optimizer = torch.optim.Adam(model.parameters(), lr=config.LEARNING_RATE) | |
writer = SummaryWriter(log_dir=config.LOGS_DIR/time.strftime('%Y-%m-%d_%H-%M-%S')) | |
bestLoss = float('inf') | |
for epoch in range(1, 1 + config.EPOCHS): | |
print("-" * 5, f"Epoch {epoch}/{config.EPOCHS}", "-" * 5) | |
loss = train_onr_epoch(model, dataloader, loss_fn, optimizer, device) | |
print(f"loss:{loss}") | |
writer.add_scalar('loss', loss, epoch) | |
if loss < bestLoss: | |
bestLoss = loss | |
torch.save(model.state_dict(), config.MODELS_DIR / 'model.pt') | |
writer.close() | |
if __name__ == '__main__': | |
train() |
# 模型
from torch import nn | |
import config | |
class InputMethodModel(nn.Module): | |
def __init__(self, vocab_size, *args, **kwargs) -> None: | |
super().__init__(*args, **kwargs) | |
self.embedding = nn.Embedding(num_embeddings=vocab_size, embedding_dim=config.EMBEDDING_DIM) | |
self.rnn = nn.RNN( | |
input_size=config.EMBEDDING_DIM, | |
hidden_size=config.HIDDEN_SIZE, | |
batch_first=True, | |
) | |
self.linear = nn.Linear(in_features=config.HIDDEN_SIZE, out_features=vocab_size) | |
def forward(self, x, *args, **kwargs): | |
embedding = self.embedding(x) | |
output, hidden = self.rnn(embedding) | |
last_hidden_state = output[:,-1,:] | |
output = self.linear(last_hidden_state) | |
return output |
# 预测
import jieba | |
import torch | |
from src.NLP.SmartPrompt.src import config | |
from src.NLP.SmartPrompt.src.model import InputMethodModel | |
device = torch.device('cuda' if torch.cuda.is_available() else 'cpu') | |
with open(config.MODELS_DIR / 'vocab.txt', 'r', encoding='utf-8') as f: | |
vocab_list = f.readlines() | |
vocab_list = [vocab.strip() for vocab in vocab_list] | |
word2index = {word: index for index, word in enumerate(vocab_list)} | |
index2word = {index: word for index, word in enumerate(vocab_list)} | |
model = InputMethodModel(len(vocab_list)).to(device) | |
model.load_state_dict(torch.load(config.MODELS_DIR / 'model.pt')) | |
def predict(text): | |
tokens = jieba.lcut(text) | |
input = [word2index.get(token, 0) for token in tokens] | |
input_tenosr = torch.tensor([input], dtype=torch.long).to(device) | |
model.eval() | |
with torch.no_grad(): | |
output = model(input_tenosr) | |
topk = torch.topk(output, k=5).indices.tolist() | |
return [index2word[index] for index in topk[0]] | |
if __name__ == '__main__': | |
user_str = '' | |
while user_str != 'q': | |
now_str = input("请输入:") | |
user_str += now_str | |
if now_str.strip() == 'q': | |
break | |
top5_tokens = predict(user_str) | |
print(top5_tokens) | |
print("当前输入:", user_str) |
# LSTM
LSTM 灵感来原与计算机逻辑门。
图片来源于:LSTM - 长短期记忆递归神经网络 - 知乎
遗忘门:主要负责遗忘过去的记忆信息,最重要的是要去结合当下的状态信息去处理。
输入门:输入门主要负责现在要记下什么,可以看到在输入门的右侧还有一个 tanh 的激活函数,
输出门:
# 双向结构
# 注意力机制
注意力机制的起源,是因为我们往往会聚焦于重要的信息。
怎么做?
我(查询对象 Q),这张图(被查询对象 V)
我看一眼这张图,我就会去判断哪些东西对我而言是重要的,那些东西对我来说是是不重要的(去计算 Q 和 V 里的事物重要程度)。
图片来自:https://www.cnblogs.com/nickchen121/p/16470710.html

# Transformer
Transformer 其实就是 Attention 的一个堆叠。
# Transformer 的 Encoder
Transformer 的 Encoder 由 N 层堆叠的结构(通常是 6 层) 组成,每一层的结构几乎一样,每层包含两个主要子层:
输入 → [多头自注意力机制] → [前馈神经网络] → 输出
并且每个子层后都有:
- 残差连接(Residual Connection)
- 层归一化(Layer Normalization)
RNN:逐个时间步处理序列,有记忆但慢。
Transformer Encoder:一次性处理全序列,通过注意力机制 “并行感知” 所有词之间的关系,速度快、效果好。
说白了还是在弄一个词向量,只不过这个词向量更加优秀!!
# Transformer 的 Decoder
解码器接收编码器生成的词向量,然后通过这个词向量生成翻译的结果。
# 参考文献
- 【[手把手教学] 基于 RNN、LSTM 神经网络单特征用电负荷预测】https://www.bilibili.com/video/BV1HN4y1Y7Lt
- 【尚硅谷 NLP 教程,nlp 自然语言处理,Transformer、LSTM、BERT 等大模型技术全覆盖】https://www.bilibili.com/video/BV1k44LzPEhU
- 【Word2Vec 模型、Attention、Transformer 】https://space.bilibili.com/383551518
- 【Transformer 模型详解(图解最完整版)】https://zhuanlan.zhihu.com/p/338817680
- 【黑马程序员 AI 大模型《神经网络与深度学习》】https://www.bilibili.com/video/BV1c5yrBcEEX